(Downloading may take up to 30 seconds.
If the slide opens in your browser, select File -> Save As to save it.)

Copyright restrictions may apply. Please see our Conditions of Use.

Click on image to view larger version.


Figure 2


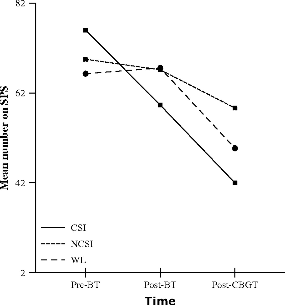
FIGURE 2 Change in score on SPS for each group and period.