
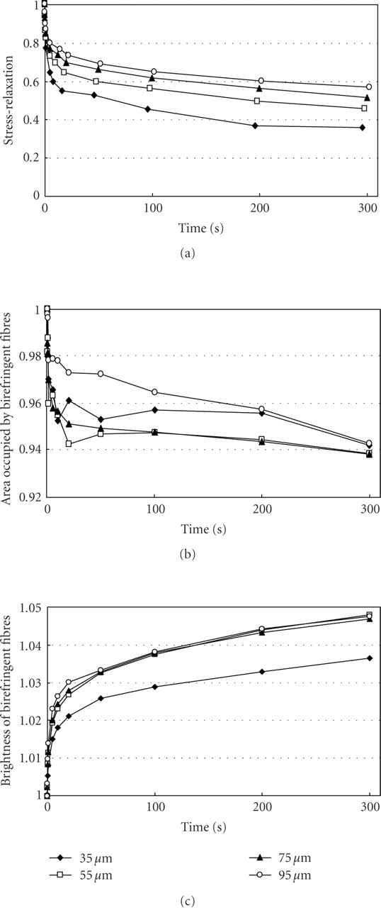
Figure 14
Changes in relaxation modulus
, area, and
brightness of the birefringent fibres in the periodontal ligament
under four different deformations. Each point represents the mean of
six specimens, adapted from Komatsu et al. [62].













