
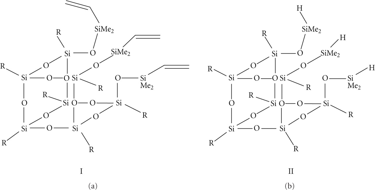
Figure 1
POSS materials used in the study. I = trivinyl-POSS and II = trisilane-POSS.
(Downloading may take up to 30 seconds. If the slide opens in your browser, select File -> Save As to save it.)
Click on image to view larger version.