
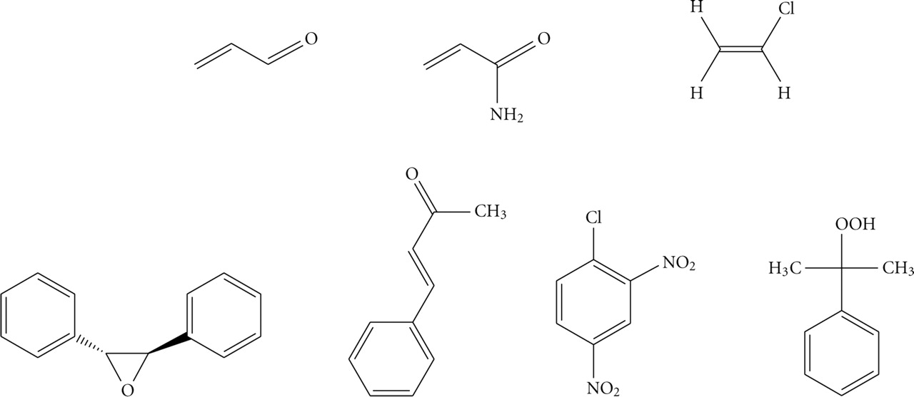
Figure 1
Selected electrophilic substrates of GST enzymes. Top row, from left: acrolein; acrylamide; vinyl chloride (bioactivated to the reactive intermediates 2-chloroethylene oxide and chloroacetaldehyde); bottom row, from left: trans-stilbene oxide (TSO); 1-chloro-2,4-dinitrobenzene (CDNB); cumene hydroperoxide.













