The Deorphanization of TRPV1 and the Emergence of Octadecadienoids as a New Class of Lipid Transmitters

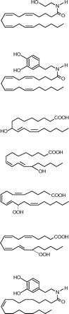
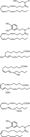
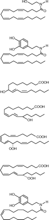
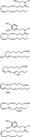
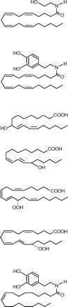
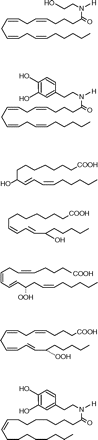
Table 1

Putative Endogenous TRPV1 Agonists

Compound Structure Approximate ED50 as TRPV1 Agonists Efficacy Relative to Capsaicin In Vitro Reference
Arachidonoyl ethanolamide (Anandamide) graphic 1 – 30 μM1 Less (10)
0.5 – 5 μM2 Less (12)
N-arachidonoyl- dopamine graphic 50 nM2 ~ Equal (12)
9-hydroxyoctadecadienoic acid (9-HODE) graphic 300 nM1 Less (4)
13-hydroxyoctadecadienoic acid (13-HODE) graphic 800 nM3 Less (4)
12-hydroperoxyeicosatetraenoic acid (12-(S)-HPETE graphic 8 μM1 Less (11)
15-hydroperoxyeicosatetraenoic acid (15-(S)-HPETE) graphic 9 μM1 Less (11)
N-oleoyl-dopamine graphic 36 nM3 ~ Equal (13)
  • 1 Sensory neurons

  • 2 HEK cells transfected with recombinant TRPV1

  • 3 CHO cells transfected with recombinant TRPV1

This Article

  1. MI June 2010 vol. 10 no. 3 137-140