

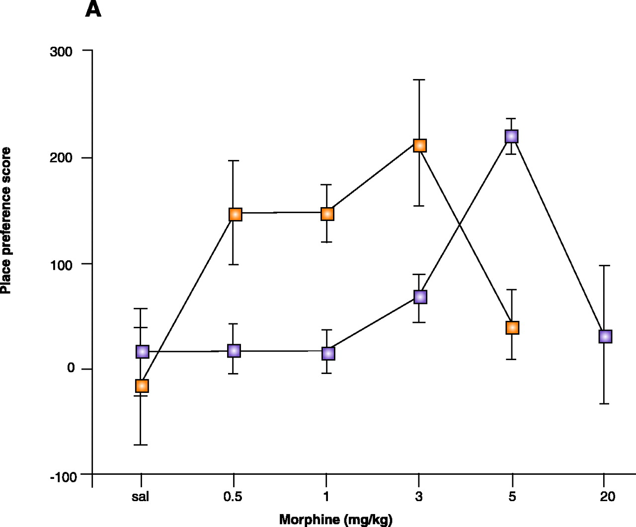
Experimetnal obliteration of the RGS–Gα interaction to study RGS function. A. RGS9 null mice (yellow squares) show increased responsiveness to the rewarding actions of morphine in a place preference assay compared to wild-type littermates (purple squares). (Sal, saline vehicle.) B. Enhanced potency and efficacy of morphine in cells expressing the μ-opioid receptor and either Gao that is insensitive to the action of RGS proteins (green circles) or RGS-sensitive Gαo protein (blue circles). The cells employed in the study (rat glioma C6 cells) do not appear to express RGS9 or other members of the R7 family (i.e., RGS7 and RGS11). Both types of Gαo protein are resistant to pertussus toxin, which is used in all cell cultures in order to inhibit endogenous Gαo activity. Note that the ordinate values for both lines is 1.0.