
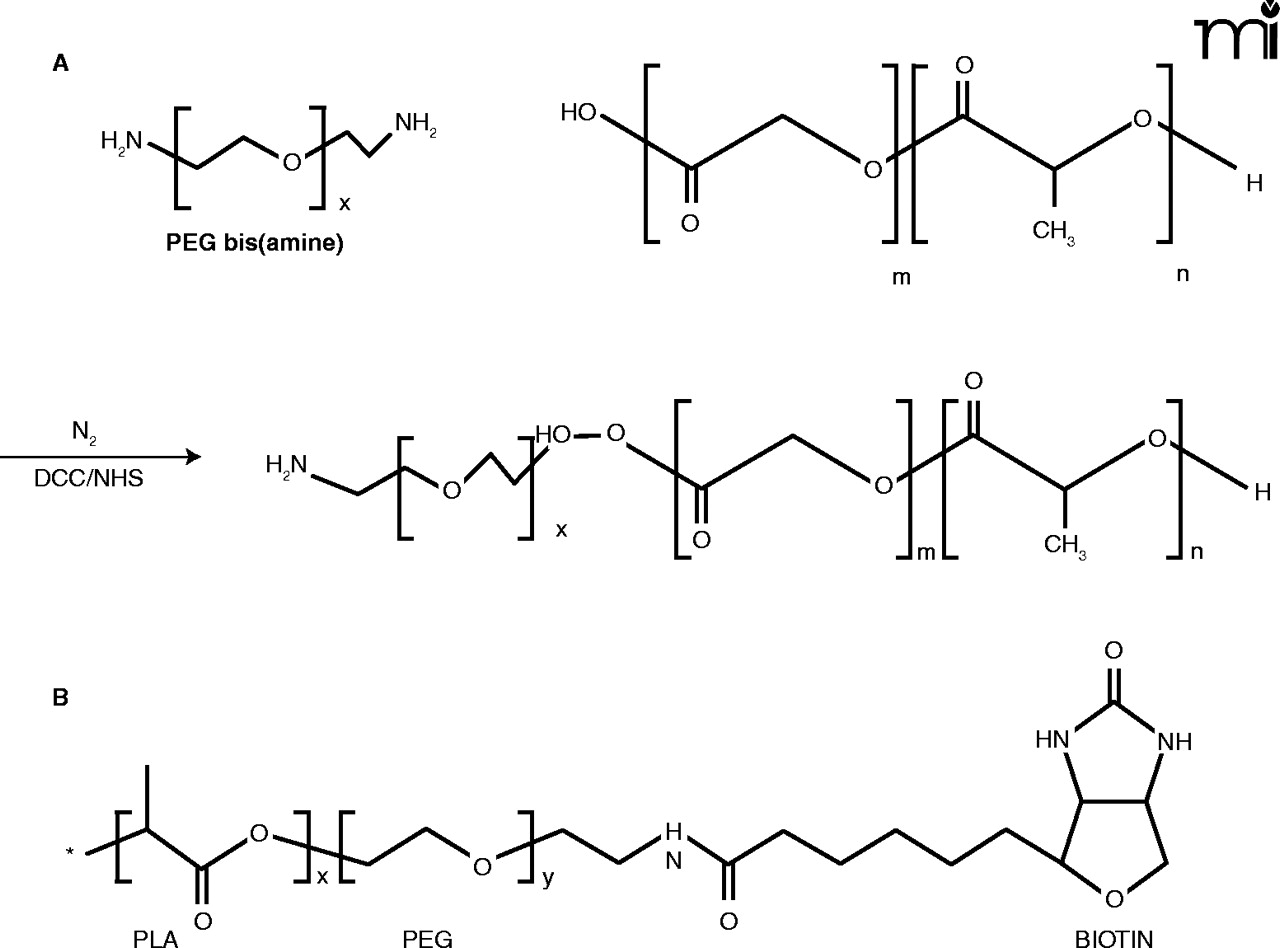
Chemical structures of molecules used in linking antibodies to active group moieties. A. Copolymerization of poly(ethylene glycol)-bis(amine) with poly(lactide-co-glycolide) to give a polymeric strand presenting a terminal end amine group. B. Further attachment of a biotin group gives a polymeric strucure that can be formed into nanoparticles that presents an attachment point for avidin-containing ligands.