
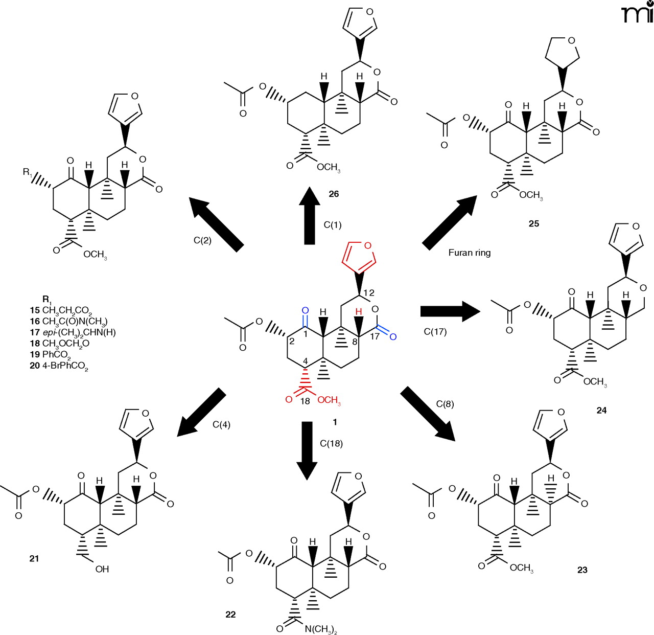
Structures of salvinorin A and representative derivatives. Representative modifications to the salvinorin A structure are shown for the indicated positions. Structural features of salvinorin A required for acitivty at KOR are shown in red, and elements shown in blue are not required for activity at KOR.