 |
 |

Self-reported Somatization Symptoms Associated With Risk for Extreme Alcohol Use
Allen Y. Tien, MD, MHS;
Thomas E. Schlaepfer, MD;
Hans-Ulrich Fisch, MD
Arch Fam Med. 1998;7:33-37.
ABSTRACT
Background The high rates of alcohol use in the population, the increased general health care utilization associated with untreated alcohol problems, and the often diffuse nature of somatization symptoms led us to hypothesize that somatization symptoms might be associated with alcohol use.
Objective To determine whether a relationship exists between somatization symptoms and alcohol use.
Design Multivariable logistic regression models were used to analyze existing cross-sectional and 1-year longitudinal survey data from the National Institute of Mental Health Epidemiologic Catchment Area Program.
Setting Community households.
Subjects Probability sample.
Interventions None.
Main Outcome Measures Prevalent and incident heavy or binge drinking ("extreme alcohol use"). These measures are part of the National Institute of Mental Health Epidemiologic Catchment Area Program public core data set that was collected without regard for specific hypotheses.
Results After control for sex, age, and education, 13 self-reported somatization symptoms showed independent cross-sectional associations to prevalent extreme alcohol use. The greater the number of somatization symptoms, the greater the risk, up to a maximum increased odds ratio of 138 to 1, of having comorbid extreme alcohol use when reporting all 13 somatization symptoms in the model. A smaller set of items was associated with the risk for subsequent new onset of extreme alcohol use.
Conclusions Self-reported somatization symptoms could add to the detection of extreme alcohol use. In addition, primary care and other physicians should consider somatic complaints as possible indicators of concurrent and future risk for extreme alcohol use. Potential benefits of better detection of extreme alcohol use include supporting primary and secondary prevention efforts and reduced expenditures for the diagnostic workup of somatic complaints.
INTRODUCTION
ALCOHOL ABUSE and alcoholism are major public mental health problems. General health care costs are estimated to be at least twice as high for untreated alcoholics who are patients in general health care, and this difference may be present up to 10 years before treatment for alcoholism.1 This health care utilization pattern suggests that alcohol problems exist undetected for many years in patients who are in contact with general health care providers. Improved detection of alcohol problems in primary health care could contribute to improving public health and decreasing these costs.
Alcoholism is highly comorbid, with psychiatric disorders such as affective and anxiety disorders and antisocial personality disorder.2 One notable exception is the low association between the full somatization syndrome and alcoholism.3 However, there may be important associations between lower levels of somatization and alcoholism. The clinical presence of puzzling somatic complaints can be the cause for expensive laboratory and diagnostic investigation, but the investigation may not be targeted at possible alcohol problems. The medical consequences of alcohol misuse, even if it does not meet the criteria for alcoholism, encompass a variety of symptoms, often similar to so-called psychosomatic or functional somatic symptoms.4 Excessive drinking is the basic element in alcohol abuse or alcoholism, but few studies have evaluated risk associations between alcohol consumption and "functional" somatic symptoms, that is, when self-reported somatization symptoms may be indicators of current or future alcohol use.
The high rates of alcohol use in the population, the increased general health care utilization associated with untreated alcohol problems,1 and the sometimes puzzling and diffuse nature of somatization symptoms led us to hypothesize that somatization symptoms might be positively associated with existing excessive alcohol use or with an increased chance of developing excessive alcohol use. To quantitatively address this hypothesis, we analyzed relationships between somatization symptoms and alcohol consumption in self-report data from the Epidemiological Catchment Area (ECA) study of the National Institute of Mental Health (NIMH, Rockville, Md).5 Using the NIMH ECA public data set, including information from more than 15000 persons assessed at 2 times 1 year apart at 5 sites in the United States, we applied logistic regression analyses to estimate these possible associations. Multivariable models allowed adjustment for possible confounding effects of study site, sex, age, and educational level.
METHODS
Between 1980 and 1984, the ECA Program studied adults 18 years and older in New Haven, Conn; Baltimore, Md; Durham, NC; St Louis, Mo; and Los Angeles, Calif. To measure the occurrence of psychiatric conditions, subjects were assessed using the NIMH Diagnostic Interview Schedule (DIS).6 The DIS was based on the Diagnostic and Statistical Manual of Mental Disorders, Third Edition (DSM-III).7 The ECA interviewers were not clinicians, but nearly all had at least some college education. Interviewers received an average of 53 hours of training, consisting of lectures, videotapes, live demonstrations, homework exercises, mock interviews, and interactive practice sessions.8 At baseline (wave 1), 18572 neighborhood residents were assessed. At follow-up (wave 2), roughly 1 year later, data were obtained on 15258 (82.16%) of the baseline participants. Informed consent and confidentiality were explicitly provided.
Data from New Haven were not used because of a difference in the assessment method for somatization symptoms. The age range was restricted to 18 to 85 years because no subjects reported binge or heavy drinking who were older than 85 years. This left a sample of 11056 persons eligible for analysis. A binary variable was coded for "extreme alcohol use." In the DIS, "bingeing" was defined as drinking a fifth of liquor or 20 beers in 1 day more than once, and "heavy drinking" was defined as drinking at least 7 drinks a day for at least 2 weeks. In our analysis, "extreme alcohol use" was defined as bingeing, heavy drinking, or both. Extreme alcohol use at any time up to wave 1 defined prevalent cases. For 2155 (19.49% of 11056) subjects, data were missing on alcohol use or demographics, leaving 8901 subjects with complete data.
To define incident cases of extreme alcohol use, subjects who were positive for extreme alcohol use at wave 1 were excluded, as were subjects with missing data at wave 2. This method of estimating incidence has been widely used with analysis of ECA data,5 eg, in study of incident schizophrenia.9 This left a group of 6770 subjects at risk for new occurrence of extreme alcohol use.
The DIS somatization items were recoded as binary variables. These items represent any symptoms up to the time of the interview. The DIS provides different levels of response coding based on severity or association by the subject with possibly related factors such as alcohol or other drug use or medical conditions. That is, when subjects said yes to an item, they were asked whether they told a doctor about it. If they said yes, they were asked about the diagnosis given by the doctor; abnormal results of diagnostic testing; whether the item was the result of using medication, drugs, or alcohol; or whether the item was the result of a physical illness or injury.
If they said no when asked whether they told a doctor about the item, they were then asked if they took medication for the symptom more than once and whether the symptom greatly interfered with their lives or activities. If they said yes to any of these probes, they were asked whether the item was due to a physical illness or injury. If they said no, they were asked whether the item was the result of using medication, drugs, or alcohol. We excluded item responses indicating an association by the subject with alcohol or other drug use or medical condition because we wanted to assess somatization items that the subjects did not associate with these factors.
If subjects said yes to an item and no to the aforementioned associations, they were then asked whether the symptom interfered with their lives or activities. If they said no, the item was rated as present at a lower level of severity, and if they said yes, it was rated as present at a higher level of severity. We collapsed both levels of severity into 1 level for analysis because we were interested in any somatization symptoms that a subject would report. Further details on the structure of the DIS are available on request and have been described in a number of publications.5
Multivariable logistic regression was used to model the binary outcome variables for prevalent or incident extreme alcohol use.10 Dummy variables for site (using Baltimore as the reference level) were tested in the models. This procedure allowed control of site-specific factors not otherwise measured or known.11 These factors included differences in survey methods ("house effects"), eg, varying lengths of interviewer training.12 For analysis of risk factor associations (odds ratios), sample design weights were not used because the interest is observing underlying patterns of risk factor associations rather than describing the specific populations from which the samples were drawn. In other words, for testing the hypothesis of associations between DIS self-reported somatization symptoms and extreme alcohol use and estimating the effect size of the associations, the sample design weights are not relevant. When design effects and sample weights are incorporated into analyses, parameters differ only by a trivial amount, and estimates of variance are somewhat larger, usually by not more than a factor of 2.13
RESULTS
PREVALENCE
There were 1391 subjects (15.6%) with prevalent extreme alcohol use at wave 1. Modeling results are shown in Table 1, presenting the variables, odds ratios, and P values for the final multivariable regression model. The model provides estimates of odds ratios of association for each variable, simultaneously adjusted for all the other variables in the model. There were highly significant differences in prevalence of extreme alcohol use between sites (relative to Baltimore), with subjects in St Louis having 1.33 increased odds of extreme alcohol use and subjects in Los Angeles having 0.73 decreased odds of extreme alcohol use. The model showed significant effects of sex, age, and education. Women were at lower of risk for prevalent extreme alcohol use, with an odds ratio of 0.135 compared with men. Each year of increasing age lowered the odds by 0.98, and each additional year of education lowered the odds by a factor of 0.95.
|
|
|
|
Table 1. Odds of Concurrent Extreme Alcohol Use With Somatization Symptoms Estimated in 1 Multivariable Logistic Regression Model*
|
|
|
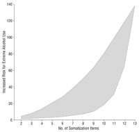
Adjusting for these site and sociodemographic factors, a logistic regression model was estimated for wave 1 comorbidity between prevalent extreme alcohol use and somatization items (Table 1). There were 13 somatization items associated with concurrent extreme alcohol use, adjusted for the sociodemographic items and for the effects of each of the other somatization items in the model. Because the logistic regression models estimate adjusted odds ratios, the occurrence in a person of more than 1 positive covariate results in a multiplicative odds ratio.14 The odds for having comorbid binge or heavy drinking with all 13 somatization symptoms in the prevalence model positive is about 138 to 1, the product of the individual odds ratio for each item (adjusted for sex, age, and education). The range of odds for all possible numbers and combinations of positive items is shown in Figure 1. For example, reading from the graph, with 9 positive somatization items the range of odds is from 10 to 64, depending on which actual somatization items are positive.
|
|
|
|
High and low ranges of increased risk of extreme alcohol use associated with self-reported somatization symptoms.
|
|
|
INCIDENCE
There were 399 subjects (5.9% of those at risk) with new extreme alcohol use at wave 2. The logistic regression model estimating associations between wave 1 somatization items and wave 2 new onset of extreme alcohol use is given in Table 2. Associations with sociodemographic and site variables were similar to those in the prevalence model, with some differences in effect size. For example, the effect for education was larger, with an odds ratio difference of 0.92 for each year of education. Differences for St Louis and Los Angeles remained, with slightly lower effect sizes. There were 3 somatization items that remained significant in this model together: abdominal pain, back pain, and sudden weight change. Self-reported weight change at wave 1 had the largest effect size, with an increased odds of 2.54 for reported new extreme alcohol use at wave 2.
|
|
|
|
Table 2. Odds of Incident Extreme Alcohol Use With Somatization Symptoms Estimated in 1 Multivariable Logistic Regression Model*
|
|
|
COMMENT
The results support hypothesized relationships between self-reported somatization symptoms and the prevalence and incidence of extreme alcohol use. Because alcohol use and related health problems are common in the general population, quantitative associations between self-reported somatization symptoms and increased chance of extreme alcohol use are of potential clinical value. In primary health care, patients can be screened by use of self-report questionnaires. Our results suggest that if more than a few such items are positive, there is a substantially increased chance for the presence of concurrent extreme alcohol use. When more than 8 or 9 items are positive, the risk rises dramatically. The associations to future incidence of extreme alcohol use are less dramatic, but suggest potential clinical benefit from heightened awareness of possible future risk in patients endorsing the items. In particular, an unexplained self-reported change in weight seems to be a strong indicator of risk for future occurrence of extreme alcohol use.
A routine medical evaluation should inquire about alcohol use, but patients often deny excessive alcohol use. Thus, there are advantages to the use of somatic symptoms as 1 index for extreme alcohol use. Physicians already inquire about such symptoms, and patients are not likely to deny physical symptoms. Because the ECA data used in this analysis are from a self-report facilitated by a lay interviewer, similar information could be obtained by office assistants, nurses, or a computer system. As a quantitative measure of risk, a computer program could quickly calculate the estimated risk for extreme alcohol use, based on the positive somatization items on a checklist. A high score should suggest further careful probing about alcohol use even in subjects who may initially deny alcohol misuse.
The clinical benefits of earlier detection of extreme alcohol use seem compelling. Because patients may have alcohol problems for 10 years or longer before the problems are detected, detection of only a subset is likely to provide significant cost savings, if the detection is coupled with preventive interventions or treatment. We speculate that even if patients do not meet diagnostic criteria for alcohol abuse or dependence, but do engage in extreme alcohol use, interventions designed to reduce or prevent the progression to alcohol abuse or dependence could be beneficial. This remains to be tested, however. Nevertheless, interventions to reduce extreme alcohol consumption would decrease the deleterious effects on physical health as well.
From the public health perspective, these results can be used for primary and secondary prevention. Efforts toward primary prevention aim to interrupt the processes leading to occurrence of disease and can be more efficient when measures such as self-reported somatization symptoms are used to identify persons at risk. To the extent that extreme alcohol use is a risk factor for subsequent alcohol abuse and dependence, early intervention could decrease the proportion of patients in whom full alcohol abuse or dependence develops. With better detection, physical illnesses that result from continued excessive alcohol consumption also could be prevented before they develop.
In secondary prevention, efforts are aimed at decreasing the duration and impact of disease. To the extent that extreme alcohol use reflects current alcohol abuse or dependence, improved detection of extreme alcohol use can in turn lead to better detection of alcohol abuse or dependence, which in turn can lead to secondary prevention. The same is true for physical illnesses related to excessive alcohol use, so that not only primary, but also secondary prevention can be enhanced by improved detection of extreme alcohol use.
Two limitations to this study are worth noting. One is the issue of comorbidity. These models of somatization symptoms and extreme alcohol use do not consider other factors that are likely to be related, such as depression and anxiety or other substance misuse, and the prevalence of alcohol abuse or dependence have not been analyzed as dependent variables. A subset of the subjects with prevalent or incident extreme alcohol use would meet DSM-III criteria for alcohol abuse or alcohol dependence. Furthermore, in primary health care settings, assessment (and detection) of a range of mental illnesses, including anxiety and depression disorders and alcohol and drug problems, remains an important and relatively neglected activity.15 These subjects remain in the analysis because the aim of the article is to determine the associations between extreme alcohol use and somatization symptoms, irrespective of the status of items indicating alcohol abuse or dependence or other associations, eg, with marijuana use, depression, or anxiety. This is justified because extreme alcohol use itself is common and an important health problem. The goal is to determine whether self-reported somatization symptoms can help to identify persons with a higher chance of engaging in extreme alcohol use. Other associated problems, although likely to be present, are not the focus of this analysis. Moving from extreme alcohol use to further analysis of alcohol abuse and dependence might yield more specific models, but the sensitivity of the results would decrease. The aim was to measure risk associations for the largest set of persons with potential alcohol problems, inclusive of heavy drinking, binge drinking, alcohol abuse, and alcohol dependence. Overall, this group has the potential for targeting by earlier interventions for improving public health and decreasing unnecessary expenditures. Thus, this analysis is focused on a specific set of associations that have meaning in showing just what a set of self-reported somatization items indicate about the risk for current or future extreme alcohol use.
The other limitation is that of the ECA data. Because the information was gathered by lay interviewers using a structured interview instrument, the NIMH DIS, it is likely that a proportion of recorded responses do not agree with what a medically and psychiatrically trained rater would record for alcohol use, and especially for somatization symptoms. To our knowledge, there is no evidence available to suggest general patterns of overreporting or false-positive alcohol use. Underreporting is more likely, but because alcohol use was analyzed as the dependent variable, the estimated associations are conservative and should be valid. For the assessment of somatization items in the probe structure of the DIS, it is possible that a subject might not associate them with alcohol use, while a clinician might disagree, eg, "periods of amnesia." Although data obtained by a clinician will be more accurate, they are substantially more costly to acquire. The DIS data represent the kind of information practical to obtain by subject self-report with assistance by computer or a lay interviewer, information that these analyses demonstrate to be able to identify increased risk for extreme alcohol use.
An advantage of the ECA data is the sampling of subjects from the community population rather than from clinical sources. Because treatment for alcoholism is often delayed or avoided, data based on clinical samples are likely to be biased. Thus, study of cases in a community sample has advantages.16 Not only are selection biases reduced, but the effects of chronicity and treatment also are limited.17-18 The results show important associations in the general population and are applicable to nonmedical settings, eg, the workplace. These associations are likely to be stronger in clinical samples, according to the bias described by Berkson, which is that co-occurrence is generally increased in clinical samples.19
The early recognition and treatment of alcohol problems is a prominent goal for public mental health. Improvements in detection can be mediated by 2 mechanisms: better use of existing information or the use of additional screening methods. These are not exclusive. In the current health care environment, costs and efficiency are major considerations. A simple self-report questionnaire administered by computer or by staff to patients could increase the efficiency of assessment, automatically calculating estimated risk. The simultaneous presentation of a number of somatic complaints should encourage the physician to thoroughly check for extreme alcohol use in the workup so that the presence of extreme alcohol consumption, with its important medical and public health implications, is not missed.
AUTHOR INFORMATION
Accepted for publication December 20, 1996.
The ECA Program is a series of 5 epidemiologic research studies performed by independent research teams in collaboration with staff of the Division of Biometry and Epidemiology of the NIMH. During the period of data collection, the ECA Program was supported by cooperative agreements.
This research paper was supported by grants from the Academic Data Processing Center of the Johns Hopkins University School of Hygiene and Public Health, Baltimore, Md, and grant MH47447 from the National Institute of Mental Health, Rockville, Md.
| The National Institute of Mental Health Epidemiologic Catchment Area Program
The National Institute of Mental Health (NIMH, Rockville, Md) principal collaborators were Darrel A. Regier, MD, MPH; Ben Z. Locke, MPH; and William W. Eaton, PhD (October 1, 1978-October 1, 1983) and Jack Burke, MD (October 1, 1983-March 1, 1987). The NIMH project officers were Carl A. Taube, PhD, and William Huber.
Principal Investigators and coinvestigators
Yale University, New Haven, Conn (grant UO1 MH 34224): Jerome K. Myers, PhD; Myrna M. Weissman, PhD; Gary L. Tischler, MD. Johns Hopkins University, Baltimore, Md (grant UO1 MH 33870): Morton Kramer, ScD; Ernest Gruenberg, MD, PhD; Sam Shapiro. Washington University, St Louis, Mo (grant UO1 MH 33883): Lee N. Robins, PhD; John Helzer, MD. Duke University, Durham, NC (grant UO1 MH 35386): Dan Blazer, MD, PhD; Linda George, PhD. University of California, Los Angeles (grant UO1 MH 35865): Marvin Karno, MD; Richard L. Hough, PhD; Javier I. Escobar, MD; M. Audrey Burnam, PhD; Dianne Timbers.
|
|
Reprints: Allen Y. Tien, MD, MHS, Associate Professor, Department of Mental Hygiene, Johns Hopkins University School of Public Health, 624 N Broadway, Baltimore, MD 21205 (e-mail: atien{at}welchlink.welch.jhu.edu).
From the Department of Mental Hygiene, Johns Hopkins University School of Public Health, and the Department of Psychiatry, Johns Hopkins University School of Medicine, Baltimore, Md (Drs Tien and Schlaepfer), and the Department of Psychiatry, University of Berne, Berne, Switzerland (Dr Fisch). Members of the National Institute of Mental Health Epidemiologic Catchment Area Program are listed at the end of this article.
REFERENCES
1. Blose J, Holder H. The utilization of medical care by treated alcoholics: longitudinal patterns by age, gender, and type of care. J Subst Abuse Treat. 1991;3:13-27.
2. Regier D, Farmer M, Rae DS, et al. Comorbidity of mental disorders with alcohol and other drug abuse: results from the Epidemiologic Catchment Area (ECA) Study. JAMA. 1990;21:2511-2518.
3. Simon G, VonKorff M. Somatization and psychiatric disorder in the NIMH Epidemiologic Catchment Area Study. Am J Psychiatry. 1991;148:1494-1500.
WEB OF SCIENCE
| PUBMED
4. Fisch H. Selbstsch-digendes Verhalten: Das Beispiel Alkoholismus. In: Uexküll T, ed. Psychosomatische Medizin. 5.Auflage. Munich, Germany: Urban & Schwarzenberg Verlag; 1995.
5. Eaton WW, Kessler LG. Epidemiologic Field Methods in Psychiatry: The NIMH Epidemiologic Catchment Area Program. New York, NY: Academic Press Inc; 1985.
6. Robins LN, Helzer JE, Croughan J, Ratcliff KS. National Institute of Mental Health Diagnostic Interview Schedule: its history, characteristics, and validity. Arch Gen Psychiatry. 1981;38:381-389.
FREE FULL TEXT
7. American Psychiatric Association. Diagnostic and Statistical Manual of Mental Disorders, Third Edition. Washington, DC: American Psychiatric Association; 1980.
8. Munson M, Orvaschel H, Skinner E, et al. Interviewers: characteristics, training, and field work. In: Eaton WW, Kessler LG, eds. Epidemiologic Field Methods in Psychiatry: The NIMH Epidemiologic Catchment Area Program. New York, NY: Academic Press Inc; 1985:69-84.
9. Tien A, Eaton W. Psychopathologic precursors and sociodemographic risk factors for the schizophrenia syndrome. Arch Gen Psychiatry. 1992;49:37-46.
FREE FULL TEXT
10. Fleiss J, Williams J, Dubro A. The logistic regression analysis of psychiatric data. J Psychiatr Res. 1986;20:145-209.
11. Converse P, Traugott M. Assessing the accuracy of polls and surveys. Science. 1986;234:1094-1098.
FREE FULL TEXT
12. Breslow N, Lubin J, Marek P, Langholz B. Multiplicative models and cohort analysis. J Am Stat Assoc. 1983;78:1-12.
13. Kessler L, Folsom R, Royall R, et al. Parameter and variance estimation. In: Eaton WW, Kessler LG, eds. Epidemiologic Field Methods in Psychiatry: The NIMH Epidemiologic Catchment Area Program. New York, NY: Academic Press Inc; 1985:327-350.
14. Greenland S. Modeling and variable selection in epidemiologic analysis. Am J Public Health. 1989;79:340-349.
WEB OF SCIENCE
| PUBMED
15. Shepherd M, Cooper B, Brown AC, Kalton G. Psychiatric Illness in General Practice. 2nd ed. New York, NY: Oxford University Press Inc; 1981.
16. Freedman D. Psychiatric epidemiology counts. Arch Gen Psychiatry. 1984;41:931-932.
FREE FULL TEXT
17. Roberts R, Spitzer W, Delmore T, Sackett D. An empirical demonstration of Berkson's bias. J Chronic Dis. 1978;31:118-128.
18. Neyman J. Statistics: servant of all sciences. Science. 1955;122:401.
FREE FULL TEXT
19. Berkson J. Limitations of the application of fourfold table analysis to hospital data. Biometrics Bull. 1946;2:47-53.
FULL TEXT
|
WEB OF SCIENCE
THIS ARTICLE HAS BEEN CITED BY OTHER ARTICLES
Somatoform and Substance Use Disorders
Hasin and Katz
Psychosom. Med. 2007;69:870-875.
ABSTRACT
| FULL TEXT
Health status of professional divers and offshore oil industry workers
Ross et al.
Occup Med (Lond) 2007;57:254-261.
ABSTRACT
| FULL TEXT
Somatization Symptoms and Alcohol Abuse
JWatch Psychiatry 1998;1998:21-21.
FULL TEXT
SOMATIZATION SYMPTOMS AND ALCOHOL ABUSE
JWatch General 1998;1998:6-6.
FULL TEXT
|