JAMA & ARCHIVES
Arch Fam Med
SEARCH
GO TO ADVANCED SEARCH
HOME  PAST ISSUES  TOPIC COLLECTIONS  CME  PHYSICIAN JOBS  CONTACT US  HELP
Institution: CLOCKSS  | My Account | E-mail Alerts | Access Rights | Sign In
  Vol. 7 No. 1, January 1998 TABLE OF CONTENTS
  Archives
 • Online Features
 Article Links
 •Return to Article

Downloading the PowerPoint slide may take up to 30 seconds. If the slide opens in your browser, select File -> Save As to save it.
Copyright restrictions may apply. Please see our Conditions of Use.



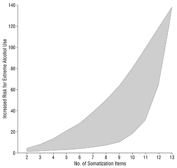
High and low ranges of increased risk of extreme alcohol use associated with self-reported somatization symptoms.






HOME | CURRENT ISSUE | PAST ISSUES | TOPIC COLLECTIONS | CME | PHYSICIAN JOBS | HELP
CONDITIONS OF USE | PRIVACY POLICY | CONTACT US | SITE MAP
 
© 2011 American Medical Association. All Rights Reserved.

DCSIMG