
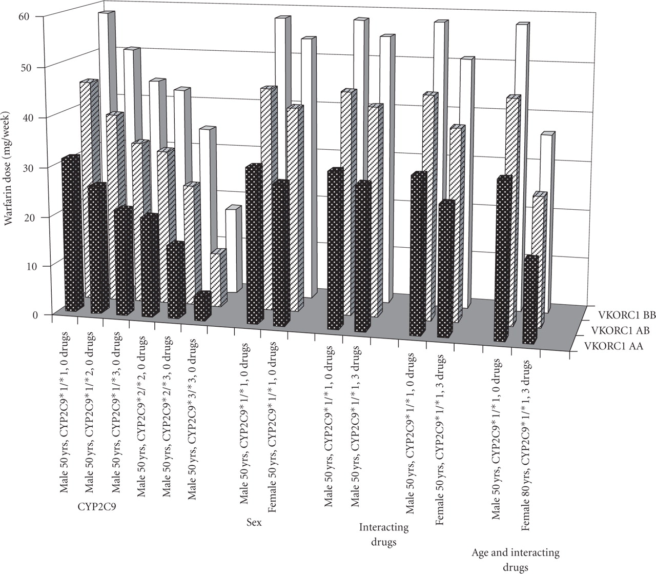
Figure 4
Warfarin dose predictions based on the patient's sex, age, CYP2C9 and VKORC1 genotype, and use of interacting drugs. “Drugs” refer to the number of concomitantly used drugs potentially interacting with warfarin, causing an increased INR (drugs lowering INR are not included in the algorithm).













